近日,我院俞云伟教授课题组与中国科学院高能物理研究所熊少林研究员及国内多家研究机构合作,在磁陀星爆发的观测研究中取得重要突破,首次发现了爆发火球辐射存在的掩食现象,并据此首次实现对火球空间位置的测量。磁陀星是一类拥有宇宙中最强磁场的中子星,其剧烈的爆发活动通常会导致强烈的X射线和软伽马射线辐射,是高能天体物理领域的一个重要观测目标和研究热点。然而,关于磁陀星爆发的具体触发机制——是源于星体壳层的星震还是磁层中的磁重联,学界长期以来缺乏明确的判断依据而难有定论,此次俞云伟团队的研究成果正好为检验爆发机制提供了重要契机。
基于我国自主研制发射的“怀柔一号”极目(GECAM)卫星和美国费米伽马射线太空望远镜(Fermi/GBM)对银河系内著名磁陀星SGR J1935+2154的长期观测结果,课题组博士生谢升伦(第一作者)在海量数据中发现了极为特殊的具有“平台”光变特征的中等爆发事件,并据此特征进一步筛选出了数个光变平台部分缺失的样本。团队通过对这些样本含时能谱的仔细分析,确定其流量变化源自辐射面积的变化而非辐射区温度的本征演化,表现出辐射区被掩食的特征。
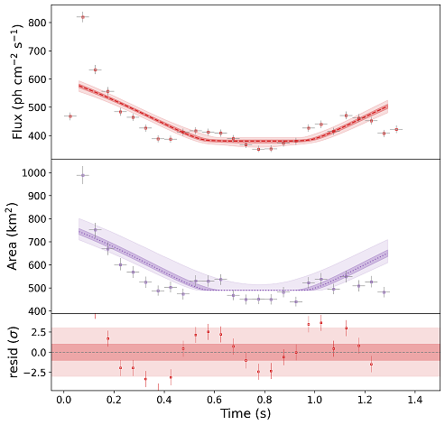
在此基础上,依据掩食过程的几何变化(如图1所示),课题组青年教师陈啊明成功拟合了这几个掩食X射线暴的光变曲线(如图2所示),证实了火球和磁陀星的共转关系。团队还进一步实现了对火球尺度(约10-20公里)特别是火球与星体表面距离的测量(大于50公里),该结果可以和能谱分析中回旋吸收特征对距离的限制结果取得一致。该测量结果表明,火球并非紧贴磁陀星表面而是悬浮在磁层之中,从而为磁陀星爆发的磁重联触发机制(类似于太阳耀斑)提供了有力的观测支持。同时,该研究还测得SGR J1935+2154视线方向和星体自转轴之间的夹角约为17度,也为这一重要参量的测量提供了一种全新的方法。
相关成果以《Eclipsed X-Ray Bursts from Magnetar SGR J1935+2154 and the Fireball Measurements》为题发表在国际天文学主流期刊《The Astrophysical Journal》上。
论文链接:https://iopscience.iop.org/article/10.3847/1538-4357/ae433d

图1:磁陀星SGR J1935+2154爆发火球被星体掩食的几何示意图

图2:基于“怀柔一号”GECAM-B观测数据的磁陀星爆发辐射流量和面积变化的拟合